Updated December 18, 2023

What is Data Structure?
The data structure includes all forms of data from data management, data organization, and data storage so that proper access is given to the users who use the data for their business. All forms of data are collected and managed, relationships are maintained between them, and the operations related to data are carried out. The data can also be retrieved from the storage space. The basis of any data structure is to arrange data very well. The data can be accessed and worked appropriately in different ways. The two main structures are array and linked data structure.
Types of Data Structures
There are various types of data structures, and the use and application of a particular type depend on the context in which the data structure has to be applied. Some of the important data structures have been discussed in the below section.
1. Linked List
It is a type of data structure that consists of nodes. These nodes store data, and a node is connected to another node through a pointer. So, we have a series of nodes linked as a series that basically appears as a list and so the name. A node in a linked list has two parts. The first part stores a data value, and the second part has a reference to another node.
There are two types of linked list viz. singly linked list and doubly linked list. The singly-linked list is a type of linked list wherein a node has a reference to the next node. The doubly linked list refers to the type of linked list in which a node has a reference to the next and the previous node. The pictorial representation of both the type of linked list is as shown below.

2. Stacks and Queues
These are the kind of sets which are dynamic in nature. Here, the delete operation governs the nature of the data structure. This is as explained: in the stack, the element which gets deleted is the most recently inserted one, i.e. stack implements a last-in, first-out (LIFO) approach to perform deletion operation. In the case of queues, the methodology followed is different. In the case of queues, the element that goes first into the data structure is the first one to come out. So, queues follow first-in, first-out (FIFO) approach for deletion operation. So stack works like a stack of saucers or plates in which the first one goes to the bottom and can never be the first one to come out. While queue is like a pipe where both the ends are open and what goes in first, comes out of the other end first.
In the case of stacks, the insertion operation is referred to as Push, as the element is pushed into the stack. The stack’s deletion operation is called Pop, as we pop the element up to bring it out. In the case of queues, the insertion operation is referred to as Enqueue; while on the other hand, the deletion operation is called dequeue.

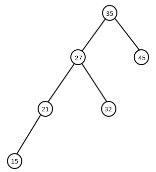
3. Binary Search Trees
The binary search trees are simple data structures. As the name goes, it works on the idea of two values. Initially, we have a root node that stores some value, say X. In the next level, we have two branches. The left branch leads to nodes representing all values less than x, while the right branch leads to nodes representing all values more than x. The tree’s division into several branches continues to happen based on the binary condition, and we get a binary tree. Data arranged using this data structure allows for efficient search operations.
A Visual Representation of a Binary Search Tree:

4. Sets
These are the data structures that contain various values. However, the values are present in no particular order. The idea underlying the concept is that values within a set are distinct from those present in other sets. Mathematically, a set is represented as A = {3, 8, 14, 33, 61}. So, a list of values in curly braces forms a set. Operations like union and intersection can be performed on sets. A set can be ordered or unordered. An unordered set, the elements need not be ordered in any particular fashion, e.g. B = {5, 3, 11, 2}.
In the case of an ordered set, the elements are ordered in a particular systematic manner, e.g. C = {4, 12, 25, 36, 63}. In set C, we find the elements ordered in ascending order. In set operations, the most important thing is to check, if the item to be added into the set is already present or not. In the case of an ordered set, the efforts involved in performing the check are slightly little compared to the efforts involved in the context of unordered sets.
Importance of Data Structure
- Data Structures allow programmers to manage the data in the most efficient manner that enhances the algorithm’s performance.
- They allow the implementation of a scientific approach as against traditional methodologies. When it comes to aspects such as processing speed, handling or multiple requests and searching through numerous records, data structures prove handy.
- They allow efficient use of memory. Data structures optimize memory usage. This makes an impact usually in situations that involve the processing of huge datasets.
- Data structures are reusable. They can be integrated as a package into a library. These libraries can be used in various situations by various stakeholders as needed.
- They allow multiple solutions for a particular problem, allowing the user to select the data structure to solve the problem in the best way.
Conclusion
Working with data structures helps the user perform data operations effectively. Various operations, such as insertion, deletion, searching, etc., can be performed using them. A task can be performed using multiple data structures, but then selecting a particular type of data structure should be based on the context.
Recommended Articles
This is a guide to What is Data Structure?. Here we discuss the different types of Data Structure and Importance along with Examples. You can also go through our suggested articles to learn more –