Updated April 18, 2023

Definition of Mesh Topology Advantages and Disadvantages
In-network world, we have so many different kinds of network strategies available out of which Mesh topology is one of them. In the topology, we have a different system available, and each of the systems is connected to each other, in short, we can say systems are interconnected to each other to form a network. This type of topology is commonly used for wireless network designing. Also, we have Mesh topology divided into basically two forms which are partially connected mesh and full connected mesh, about both of them we will discuss in detail in the coming section of the article for better clarity for beginners.
Always any topology type comes with different advantages and disadvantages they are pretty same in number for Mesh topology. In short in Mesh topology we connect the infrastructure nodes that is switches, bridges, and another infrastructure device with each other and are used to transmit data to one another that if from server to client and vice versa, so Mesh topology is self-configured and guarantee few nodes will fail by chance. In the coming section of the tutorial, we will see the internal working of Mesh topology with the flow chart attached also with advantages and disadvantages.
How Mesh topology internally works?
So far we have seen what are Mesh topology and how they behave, in this section, we will take a closer look at the internal working and basic structure of the Mesh topology in detail for better understanding, let’s get started to see below;

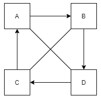
As you can see in the above diagram we have few systems available which are connected to each other and form a distributed system. In the Mesh topology, each of the separate systems or nodes is connected to each other. This Mesh topology is basically used to transmit the data to the client inefficient manner. Also, it is one of the forms of network topology we have so many other with each one of them having its own advantage and disadvantages associate with it. Mesh topology uses one of the two mentioned below techniques to transfer messages to another system which is mentioned below;
a) Routing technique
b) floating technique
1) We have four different system available which are named A, B , C, D.
2) As we can see from the above diagram each is connected to the other independently.
3) First A is connected to B.
3) Second B is connected to C.
3) Third C is connected to D.
3) Fourth A is connected to D and so on.
This is how Mesh topology is internally structured to transfer data in the network type.
Different types of Mesh Topology?
As we have discussed how mesh topology works, now we will have discussed the different types of Mesh topology available which are mentioned below;
1) Partially connected Mesh topology: In this type of Mesh topology what happens is that at least two of the system inside the Mesh network are connected to each other and they are used to avoid the redundancy from the network type, also reduce the code and overhead to maintain the system. It is inexpensive also if one of the systems from the Mesh topology fails it will not impact the performance of the other network. But the rest of the system will work normally and shares data among them.
2) Full connected Mesh topology: This is the basic Mesh topology form we have, in which all the systems inside a network will connect to each other to share data to and from, but this required lot of overhead and is expensive as well because we have to maintain the connection with each of the system present inside the network. We can calculate the required number of connections that will be needed to form this topology inside a network using the below formula see below;
e.g. :
n(n-1)/2
as you can see we are calculating the number of connections by the use of a number of systems we have, we are just dividing them by 2. Try and calculate the connection required in your network.
Mesh Topology Advantages and Disadvantages
Now after the basic understanding of Mesh topology, now we will be easily identified the advantages and disadvantages of using Mesh topology for our network to transfer data to and from. Let’s have a closer look at a few of them in detail see below;
Advantages:
1) Mesh topology can manage a high volume of traffic easily. Because we have a number of devices that an available to transmit data simultaneously.
2) If one of the systems or devices fails it will not affect the other device, all other devices can transfer without any hindrance.
3) If in the future we want to increase the number of devices or we can say we want to scale our network then adding the new system or device will not affect any working of the existing Mesh topology system.
Disadvantages:
1) Building of Mesh topology to transfer data is very time-consuming because we need to take all the systems or devices into consideration and monitor as well
2) Maintenance is also very time consideration and overhead in Mesh topology because each of the systems is interconnected with each other, requires a lot of maintenance as well.
3) Cost to implement this structure is very high, which is very high in comparison to other network topologies. This is also one of the disadvantages of Mesh topology in we need to rethink before using this for data transfer.
4) Also each node is interconnected to each other which may cause the redundancy of the connection, also increases the unnecessary case for that connection, and also requires extra effort the monitor this.
Conclusion
As we have seen the disadvantages and advantages of the Mesh topology but before that, we have to have a proper understanding of this network topology in detail, in order to figure out its pros and cons. As we have already discussed each of them in detail, easy to use, understandable, but may require a lot to maintain by the developers and expensive as well.
Recommended Articles
This is a guide to Mesh Topology Advantages and Disadvantages. Here we discuss the definition, How Mesh topology internally works? Different types of Mesh Topology? respectively. You may also have a look at the following articles to learn more –